
SEED 디자인 시스템의 컬러 시스템은 오랜 기간 사용되었으나, 지속적인 피드백과 색상 시스템에 대한 이해도가 높아지면서 여러 문제점이 발견되었어요. 당근 디자인 시스템팀이 어떻게 SEED Design System의 컬러 팔레트를 재설계했는지 그 여정을 공유해요.
이번 글에서는 발견한 문제점들을 분석하고, 타사 사례 조사를 바탕으로 개선 가능한 방향을 제시하고, 이어서 SEED Design의 컬러 팔레트 다시 설계하기 2 - 문제 해결하기 에서 실제로 어떻게 개선했는지 소개해요.
문제 살펴보기
구분이 어려운 색상 단계

- 구분이 어려울 정도로 유사한 구간이 있었어요.
- red 500-700, carrot 500-700
- 어떤 색을 써야 할지 판단하기 어렵고, 일관된 선택이 어려워 전반적인 시각적 통일성 하락으로 이어졌어요.
라이트 모드에서 충분히 어두운 색이 부족함

- 콜아웃 배너와 같이 투톤으로 사용할 경우, 충분히 어두운 색이 부족해 뚜렷한 시인성을 제공하기 어려웠어요.
단계와 명도 사이의 일관성 부족

- 동일한 단계라도 carrot, blue, red, …각각의 느낌이 많이 달랐어요.
- 컴포넌트의 색상 variant를 만들 때 종종 다른 단계를 찾아야 하고, 학습하기 어려웠어요.
- “기본 배경 위에서는 600부터 텍스트 색으로 사용 가능”과 같은 접근성 가이드를 제시하기 어려웠어요.
다크모드에서 충분히 어두운 배경색을 제공하지 않음

- 다크모드에서 충분히 어두운 배경색이 존재하지 않아 투명도가 포함된 컬러 토큰을 높은 빈도로 사용하게 되었어요.
- 디자인/구현 시에 컬러가 중첩되는 경우까지 고려해야 해 비용이 높아져요.
- 라이트 모드를 기준으로 디자인 하는 경우가 많은데, blue-50과 blue-alpha-50을 의도치 않게 혼용하는 경우가 발생해요.
다크모드에서 밝은 색의 채도가 지나치게 낮음

- 채도가 지나치게 낮아 회색이 섞인 느낌을 주며, 의미가 잘 드러나지 않게 되었어요.
- 위의 “다크모드에서 충분히 어두운 색이 없는 문제”와 연관되어 콜아웃 배너의 텍스트 가시성을 확보하기 위한 시도로 추정되나, 실제로는 배경 색을 해결해야 할 문제였어요.
분석
분석 방법
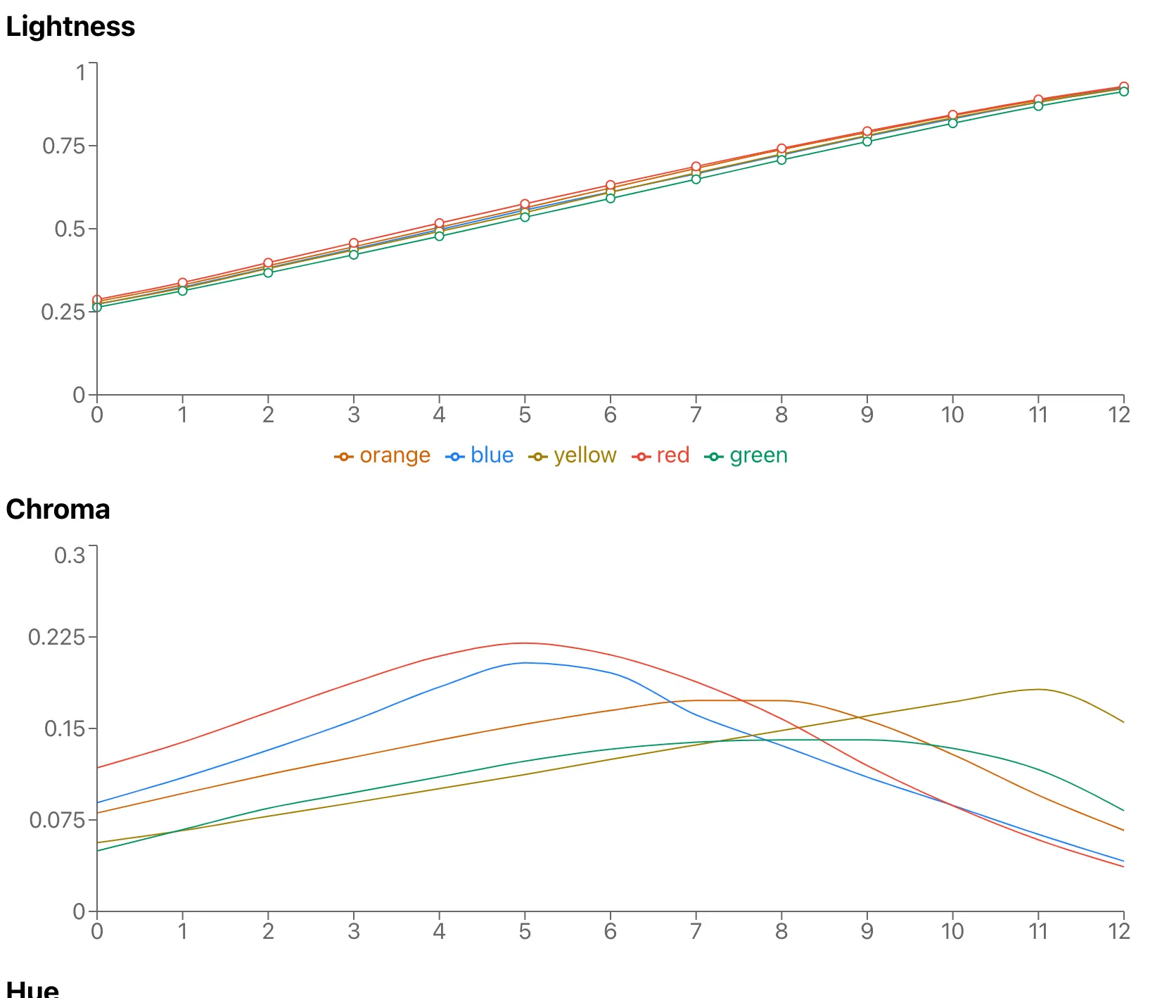
Scale Color 팔레트를 Perceptually uniform(인지적으로 균일한) 색공간 위에서 명도, 채도 그래프를 그려보고, 타사 사례와 비교하며 각 사항에 대한 원인을 분석해 보았어요.
인지적으로 균일한 색공간?

- RGB 색공간에서 정의되는 HSL은 동일한 Lightness를 가지더라도 Hue에 따라 실제로 인식되는 밝기가 달라지는 문제가 있었어요.
- 사람이 색을 인식하는 방법에 대한 연구를 통해, 동일한 Lightness라면 서로 다른 Hue에서도 거의 동일한 밝기로 인식하는 방법들이 제시되었고, 이렇게 만들어진 색공간들을 인지적으로 균일한 색공간 (Perceptually Uniform Color Space)라고 불러요.
- 이번에는 최근에 웹에 보급되기 시작한 OKLCH 색공간을 사용할거에요.
- L: 명도(Lightness): 0-100% 범위
- C: 채도(Chroma): 0-100% 범위
- CSS의 OKLch는 100%=0.4로 계산하지만, 이번 분석에서는 100%=1로 계산하고 있어요.
- H: 색상(Hue): 0-360 범위 (각도)
구분이 어려운 색상 단계

- 단계에 따른 명도 변화량이 500-700 구간에서 적게 나타나고 있어요. 특히 carrot, red에서 두드러지고 있어요.
- 반대로, 400-500 구간의 간격이 넓어 인터랙션에 따른 색 변화가 너무 크게 느껴질 때도 있었어요.
- 타사 사례에서는 각 단계별 명도 차이가 인지하기에 충분할 정도로 넓게 구성하고 있어요.
더 어두운 색이 필요하며, 단계별 일관성이 부족함

- 500 이후로 carrot과 다른 스케일의 명도 진행에 큰 차이를 보이고 있어요.
- 배경/텍스트를 똑같이 100/900으로 매칭해도 carrot과 다른 색들의 결과가 달라져요.
- carrot은 950의 명도가 49%, 나머지는 33-39% 가량으로 이루어져 있는데, 투톤으로 사용할 때 충분히 어두운 색을 표현하지 못할 수 있어요.
- 타사 사례에서는 가장 어두운 단계의 명도를 30% 이하로 낮게 구성하는 것이 일반적이에요.
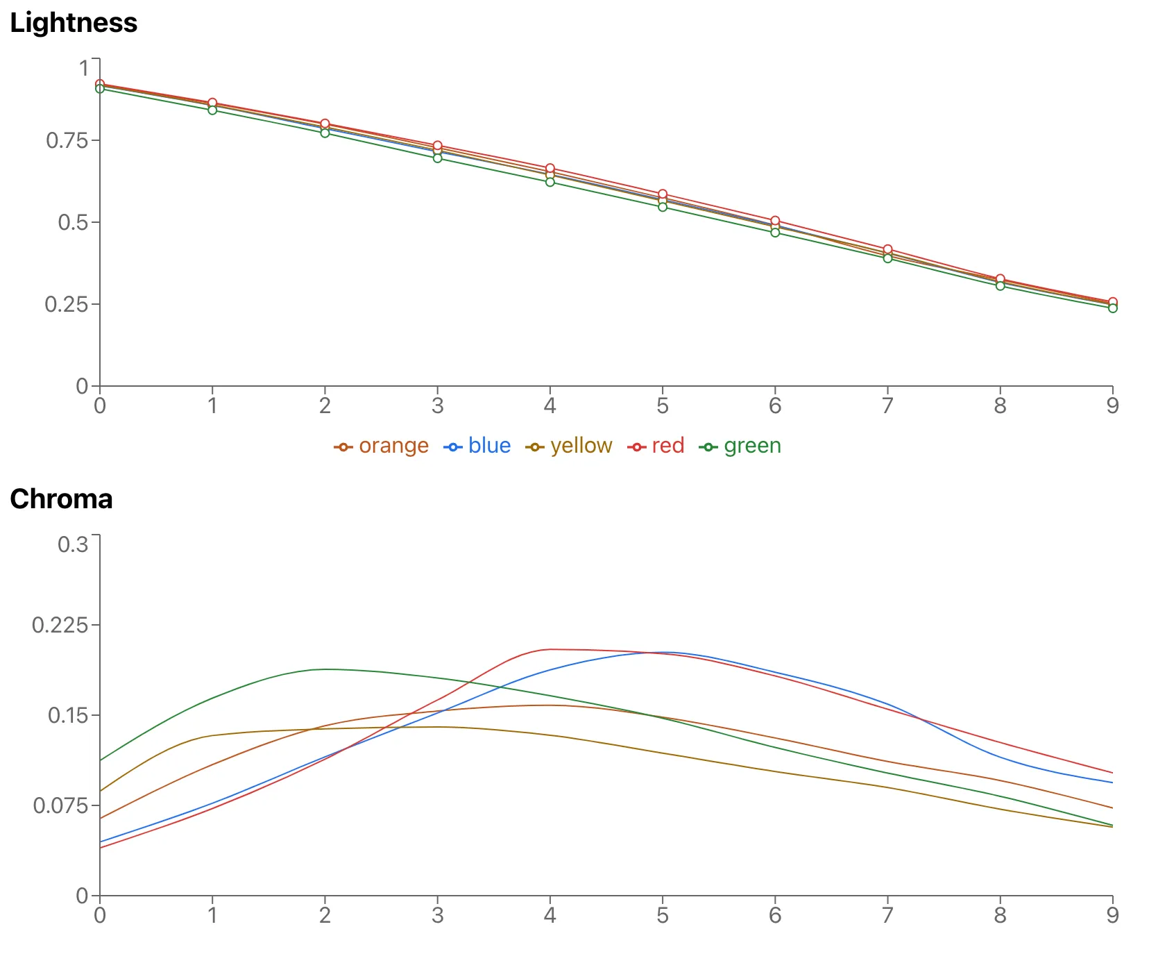
다크모드에서 충분히 어두운 배경색을 제공하지 않음

- 가장 어두운 색이 낮게는 32%, 높게는 42%의 명도를 가지고 있어 Callout, Button등의 컴포넌트 배경색으로 사용할 때 의도한 것 이상으로 주목을 끌거나, 텍스트와 밝기 대비가 충분하지 않은 문제가 있었어요.
- 이런 문제들을 우회하기 위해 그동안은 투명도를 포함한 색상을 많이 사용해왔지만, 투명도에 의존하는 것은 배경 색의 영향을 같이 받게 되는 문제가 있었고, 의도한 색을 표현하는 데 지장이 있었어요.
- 타사 사례에서는 다크모드에서 가장 어두운 색상을 23-28% 정도의 명도를 가지도록 구성하는 것이 일반적이에요.
다크모드에서 밝은 색의 채도가 지나치게 낮음

- 950에서의 채도가 낮아(blue 제외 1-2%) 회색이 섞인 느낌을 주고 있어요.
- 타사 사례에서는 가장 밝은/어두운 색에서도 최소 3-4%의 Chroma(채도)를 가지도록 구성하는 것이 일반적이에요.
타사 디자인 시스템 사례 분석
Adobe, Github, IBM의 컬러 시스템을 동일한 방식으로 분석해 보았어요.
라이트 모드
Adobe Spectrum

Github Primer

IBM Carbon

- 특성은 조금씩 다르지만, 공통적으로 모든 스케일에 대해 동일한 명도 진행을 보이고 있어요.
- 가장 어두운 단계의 명도를 충분히 낮게(30% 이하로) 잡고 있어요.
Dark Mode
Adobe Spectrum

Github Primer

- 가장 어두운 단계의 명도를 충분히 낮게 (29% 이하로) 잡고 있어요.
- 최소 Chroma(채도)를 너무 낮지 않게 (3-4% 이상으로) 잡고 있어요.
- Chroma가 완만한 포물선을 그리도록 구성되어 있어요.
개선 가능한 부분
명도 진행의 일관성 확보
- 모든 스케일이 동일한 명도 진행을 가질 수 있도록 한다.
- 각 단계별로 명도 간격이 인지하기에 충분히 넓어야 한다.
- 단계별 간격은 동일하지 않고, 낮은 대비에서는 높은 대비에서보다 좁은 간격을 가진다. (스티븐스 멱법칙)
충분히 어두운 색 제공
- 모든 스케일이 충분히 어두운 색을 가질 수 있도록 한다.
- 라이트 모드의 950 기준, 30% 이하의 명도를 제공한다. (OKLch 기준)
- 다크 모드의 50 기준, 30% 이하의 명도를 제공한다. (OKLch 기준)
적용 예시
색조를 최대한 유지하면서, 타사 사례와 유사하게 단계별 명도를 조정한 예시를 만들어 보았어요.

각 단계별 색의 구분이 쉬워지고, 각 케이스별로 적합한 색을 결정하기 쉬워져요.
라이트, 다크모드 모두 충분히 어두운 색을 표현할 수 있어요.
- 투명도를 사용하지 않아도 다크모드에서 충분히 주목도 낮은 색을 얻을 수 있어요.

적용 예시를 통해, 개선 방향성을 확인할 수 있었어요. 이어서 SEED Design의 컬러 팔레트 다시 설계하기 2 - 문제 해결하기 에서 실제로 어떻게 개선했는지 소개해요.
참고자료
- https://adobe.design/stories/design-for-scale/reinventing-adobe-spectrum-s-colors
- https://material.io/blog/science-of-color-design
- https://github.blog/2023-05-11-unlocking-inclusive-design-how-primers-color-system-is-making-github-com-more-inclusive/
- 인지적 색공간 기반 색상 시스템 설계
- 적응형 컬러 팔레트
- 체계적인 색상 시스템 설계 방법